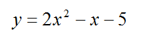
Grafik fungsi kuadrat yang memiliki titik balik P(1, –4) dan melalui titik A(2, –3) adalah ....
-3
-1
0
1
2
- 8
- 6
- 5
7
8
Harga 4 buku dan 3 spidol adalah Rp66.000,00, sedangkan harga 2 buku dan 5 spidol adalah Rp 40.000,00. Harga masing-masing buku dan spidol adalah ....
Rp.38.000,00 dan Rp.1.500,00
Rp.34.000,00 dan Rp.2.500,00
Rp.32.000,00 dan Rp.5.000,00
Rp.23.000,00 dan Rp.1.250,00
Rp.15.000,00 dan Rp.2.000,00
Sistem pertidaksamaan linear dari daerah penyelesaian yang diarsir berikut adalah ....
Seorang penjahit akan membuat dua model baju. Baju model pertama dan kedua berturut-turut memerlukan bahan sebanyak 3 m dan 2 m kain. Baju yang diproduksi paling banyak 30 potong dan bahan kain yang tersedia sebanyak 60 m. Jika banyak baju model pertama x potong, dan baju model kedua y potong, manakah pernyataan yang benar berikut ini?
Membuat baju model pertama dan kedua sama banyak tidak ada pengaruh dalam keuntungan.
Membuat baju model pertama setengah kali dari model kedua akan menguntungkan.
Membuat baju model kedua saja paling untung, jika harga model pertama lebih murah dari model kedua.
Lebih baik membuat baju model pertama saja paling untung, jika harga model kedua lebih mahal.
Membuat baju model pertama dan kedua sama banyak tetap paling menguntungkan
21
66
70
72
74
Diketahui barisan aritmatika 5, 8, 11, ... , 53. Banyaknya suku barisan tersebut adalah ....
15
16
17
18
19
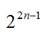
Rumus suku ke-n pada barisan geometri 2, 8, 32, 128, ... adalah ....
Suku ke-3 dari suatu barisan geometri adalah 6 dan suku ke-7 adalah 96. Besar suku ke-5 barisan tersebut adalah ....
18
24
36
48
54
Sebuah perusahaan kain batik menghasilkan 48 kain batik pada awal produksi dan meningkat menjadi 52 pada hari berikutnya. Bila peningkatan jumlah produksi konstan setiap harinya, maka jumlah produksi setelah 20 hari adalah ....
1700
1702
1718
1720
1722
Ruas garis yang merupakan diagonal bidang pada kubus KLMN.OPQR adalah .…
KQ
OM
PQ
KM
NM
Persamaan garis yang melalui titik P(–3, 6) dan tegak lurus dengan garis –2x + 3y – 6 = 0 adalah ....
2x + 3y – 3 = 0
2x + 3y + 3 = 0
3x – 2y – 3 = 0
3x – 2y + 3 = 0
3x + 2y – 3 = 0
y = 3x + 6
y = 3x – 6
y = –3x + 6
y = –3x – 6
y = –3x – 8
Diketahui panjang rusuk kubus ABCD.EFGH adalah 8 cm. Titik P adalah titik potong diagonal bidang ABCD. Jarak titik G dan P adalah ....
Diketahui kubus ABCD.EFGH memiliki panjang rusuk 6 cm. Jarak titik D ke ruas garis AG adalah ….
Kubus ABCD. EFGH dengan rusuk 10 cm. Sudut antara garis AH dengan bidang alas adalah ….derajat
30
45
60
75
90
Persamaan lingkaran yang pusatnya P(3, –2) dan titik Q(6, 2) adalah ….
Pada tahun 2007 konsumsi BBM bersubsidi jenis premium lebih sedikit daripada minyak tanah.
Pada tahun 2008 konsumsi BBM bersubsidi jenis minyak tanah lebih besar daripada tahun 2007.
Konsumsi BBM bersubsidi jenis solar dari tahun 2007-2008 sama besarnya.
Konsumsi BBM bersubsidi dalam satu tahun mengalami penurunan.
Pada tahun 2008 konsumsi BBM bersubsidi jenis premium lebih banyak daripada minyak tanah.
Diagram batang dan tabel menunjukkan setiap barang ada jumlahnya.
Diagram batang tidak menunjukkan jumlah total barang yang datang, sedangkan pada tabel jumlah total barang yang datang tertulis.
Kode setiap barang ada, baik pada diagram batang maupun pada table.
Diagram batang dan tabel sama-sama berfungsi menyajikan data.
Diagram batang keterangannya kurang lengkap, sedangkan tabel keterangannya lengkap.
Sebuah perusahaan industri memiliki dua jenis produk yaitu produk A dan produk B. Untuk mengetahui kualitas dari kedua produk tersebut, dilakukan pengambilan sampel masing-masing dari produk A dan produk B untuk selanjutnya dilakukan pengujian. Hasil pengujian menunjukkan bahwa nilai rata-rata kualitas produk A adalah 95, sedangkan nilai rata-rata kualitas produk B adalah 75. Jika kedua sampel produk digabung, nilai rata-rata kualitas produk menjadi 87. Pernyataan yang sesuai dengan data tersebut adalah ....
Banyaknya produk A dan produk B sama banyak
Banyak produk A lebih kecil dari produk B
Perbandingan banyak produk A dengan produk B = 3 : 2
Perbandingan banyak produk A dengan produk B = 2 : 3
Banyak produk tidak ada kaitan dengan rata-rata kualitas
Data tinggi badan dari 40 orang siswa disajikan dalam tabel di bawah. Kuartil atas (Q3) dari data tersebut adalah ....
160,00
168,07
168,08
168,28
169,08
Dari 5 orang calon pengurus akan dipilih seorang ketua, wakil ketua, dan seorang bendahara, Banyaknya susunan pengurus yang mungkin adalah….
10
15
20
60
125
Sebuah kantong berisi 5 kelereng merah, 4 kelereng putih, dan 3 kelereng kuning. Kemudian dari dalam kantong diambil 3 kelereng sekaligus secara acak. Peluang terambil 2 kelereng merah dan 1 kelereng putih adalah ....